Задание 1217 - ГДЗ Математика 6 класс. Виленкин, Жохов, Чесноков. Учебник. Страница 210

Старая и новая редакции

Вернуться к содержанию учебника

1214 1215 1216 1217 1218 1219 1220

Вопрос

№1217 учебника 2011-2017 (стр. 210):

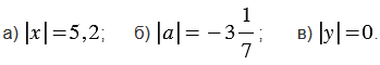
Решите уравнение:

Подсказка

№1217 учебника 2011-2017 (стр. 210):

Вспомните:

  1. Как решают уравнения.
  2. Модуль числа.

Ответ

№1217 учебника 2011-2017 (стр. 210):


Вернуться к содержанию учебника