Задание 1218 - ГДЗ Математика 6 класс. Виленкин, Жохов, Чесноков. Учебник. Страница 210

Старая и новая редакции

Вернуться к содержанию учебника

1215 1216 1217 1218 1219 1220 1221

Вопрос

№1218 учебника 2011-2017 (стр. 210):

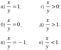
Придумайте такие значения и , при которых верно соотношение:

Подсказка

№1218 учебника 2011-2017 (стр. 210):

Ответ

№1218 учебника 2011-2017 (стр. 210):


Вернуться к содержанию учебника