Вернуться к содержанию учебника
№1254 учебника 2011-2017 (стр. 219):
Раскройте скобки и найдите значение выражения:
а) 8,757
(7,8
1,043);
б) 3,96 + (2,375
3,96);
в) 
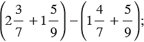
г) 
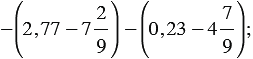
д) 
е) 
№1254 учебника 2011-2017 (стр. 219):
Вспомните:
Вернуться к содержанию учебника