Задание 1320 - ГДЗ Математика 6 класс. Виленкин, Жохов, Чесноков. Учебник. Страница 232

Старая и новая редакции

Вернуться к содержанию учебника

1317 1318 1319 1320 1321 1322 1323

Вопрос

№1320 учебника 2011-2017 (стр. 232):

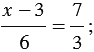
Решите уравнение, используя основное свойство пропорции:

а)

б)

в)

г)

Подсказка

Ответ

№1320 учебника 2011-2017 (стр. 232):


Вернуться к содержанию учебника