Номер 293 - ГДЗ Математика 6 класс. Мерзляк, Полонский. Учебник. Страница 60

Вернуться к содержанию учебника

Страница 60

290 291 292 293 294 295 296

Вопрос

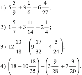
Выполните действия:

Подсказка

Вспомните:

  1. Обыкновенные дроби.
  2. Смешанные числа.
  3. Основное свойство дроби.
  4. Сокращение дробей.
  5. Приведение дробей к общему знаменателю.
  6. Сложение и вычитание дробей с одинаковыми знаменателями.
  7. Сложение и вычитание дробей с разными знаменателями и смешанных чисел.
  8. Порядок выполнения действий.

Ответ


Вернуться к содержанию учебника