Номер 316 - ГДЗ Математика 6 класс. Мерзляк, Полонский. Учебник. Страница 63

Вернуться к содержанию учебника

Страница 63

313 314 315 316 317 318 319

Вопрос

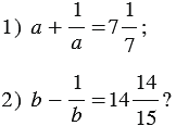
Какое натуральное число является корнем уравнения:

Подсказка

Вспомните:

  1. Что такое уравнение.
  2. Что называется корнем уравнения.
  3. Обыкновенные дроби.
  4. Смешанные числа.
  5. Сложение и вычитание смешанных чисел.

Ответ


Вернуться к содержанию учебника