Номер 321 - ГДЗ Математика 6 класс. Мерзляк, Полонский. Учебник. Страница 63

Вернуться к содержанию учебника

Страница 63

318 319 320 321 322 323 324

Вопрос

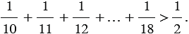
Докажите, что

Подсказка

Ответ


Вернуться к содержанию учебника