Номер 351 - ГДЗ Математика 6 класс. Мерзляк, Полонский. Учебник. Страница 69

Вернуться к содержанию учебника

Страница 69

348 349 350 351 352 353 354

Вопрос

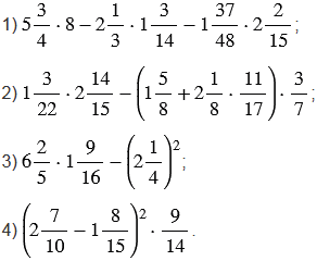
Найдите значение выражения:

Подсказка

Вспомните:

  1. Порядок выполнения действий.
  2. Степень числа.
  3. Сложение и вычитание дробей с разными знаменателями.
  4. Приведение дробей к наименьшему общему знаменателю.
  5. Наименьшее общее кратное.
  6. Сложение и вычитание дробей с одинаковыми знаменателями.
  7. Умножение обыкновенных дробей и смешанных чисел.
  8. Неправильные дроби.
  9. Деление с остатком.

Ответ


Вернуться к содержанию учебника