Номер 431 - ГДЗ Математика 6 класс. Мерзляк, Полонский. Учебник. Страница 79

Вернуться к содержанию учебника

Страница 79

428 429 430 431 432 433 434

Вопрос

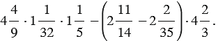
Найдите значение выражения:

Подсказка

Вспомните:

  1. Порядок выполнения действий.
  2. Обыкновенные дроби.
  3. Смешанные числа.
  4. Сложение и вычитание смешанных чисел.
  5. Сложение и вычитание дробей с разными знаменателями.
  6. Приведение дробей к наименьшему общему знаменателю.
  7. Сложение и вычитание дробей с одинаковыми знаменателями.
  8. Умножение обыкновенных дробей и смешанных чисел.

Ответ


Вернуться к содержанию учебника