Номер 452 - ГДЗ Математика 6 класс. Мерзляк, Полонский. Учебник. Страница 86

Вернуться к содержанию учебника

Страница 86

449 450 451 452 453 454 455

Вопрос

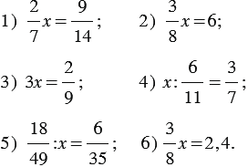
Решите уравнение:

Подсказка

Ответ


Вернуться к содержанию учебника