Номер 451 - ГДЗ Математика 6 класс. Мерзляк, Полонский. Учебник. Страница 86

Вернуться к содержанию учебника

Страница 86

448 449 450 451 452 453 454

Вопрос

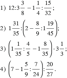
Найдите значение выражения:

Подсказка

Вспомните:

  1. Обыкновенные дроби.
  2. Смешанные числа.
  3. Умножение дробей и смешанных чисел.
  4. Сложение и вычитание дробей с одинаковыми знаменателями.
  5. Сложение и вычитание дробей с разными знаменателями.
  6. Деление дробей и смешанных чисел.
  7. Какие числа называют взаимно обратными.
  8. Сокращение дробей.
  9. Порядок выполнения действий.

Ответ


Вернуться к содержанию учебника