Номер 609 - ГДЗ Математика 6 класс. Мерзляк, Полонский. Учебник. Страница 120

Вернуться к содержанию учебника

Страница 120

606 607 608 609 610 611 612

Вопрос

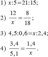
Найдите неизвестный член пропорции:

Подсказка

Ответ


Вернуться к содержанию учебника