Номер 897 - ГДЗ Математика 6 класс. Мерзляк, Полонский. Учебник. Страница 195

Вернуться к содержанию учебника

Страница 195

894 895 896 897 898 899 900

Вопрос

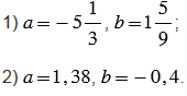
Вычислите значение выражения , если:

Подсказка

Вспомните:

  1. Буквенные выражения.
  2. Что такое модуль числа.
  3. Положительные и отрицательные числа.
  4. Деление смешанных чисел и обыкновенных дробей.
  5. Умножение обыкновенных дробей.
  6. Сокращение дробей.
  7. Деление десятичных дробей.
  8. Неправильные дроби.
  9. Смешанные числа.

Ответ


Вернуться к содержанию учебника