Номер 898 - ГДЗ Математика 6 класс. Мерзляк, Полонский. Учебник. Страница 195

Вернуться к содержанию учебника

Страница 195

895 896 897 898 899 900 901

Вопрос

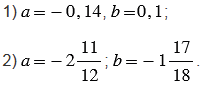
Найдите значение выражения , если:

Подсказка

Вспомните:

  1. Буквенные выражения.
  2. Что такое модуль числа.
  3. Положительные и отрицательные числа.
  4. Вычитание смешанных чисел и дробей с разными знаменателями.
  5. Приведение дробей к общему знаменателю.
  6. Вычитание дробей с одинаковыми знаменателями.

Ответ


Вернуться к содержанию учебника