Номер 1093 - ГДЗ Математика 6 класс. Мерзляк, Полонский. Учебник. Страница 232

Вернуться к содержанию учебника

Страница 232

1090 1091 1092 1093 1094 1095 1096

Вопрос

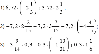
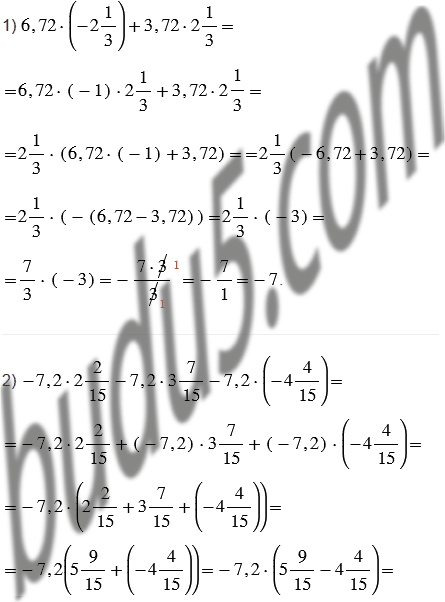
Вычислите наиболее удобным способом:

Подсказка

Вспомните:

  1. Распределительное свойство умножения.
  2. Правила умножения рациональных чисел.
  3. Правила сложения рациональных чисел.
  4. Правила вычитания рациональных чисел.
  5. Сложение и вычитание десятичных дробей.
  6. Десятичная запись дробных чисел.
  7. Умножение обыкновенных дробей и смешанных чисел.
  8. Сложение и вычитание обыкновенных дробей с одинаковыми знаменателями.
  9. Приведение дробей к общему знаменателю.
  10. Сложение и вычитание обыкновенных дробей с разными знаменателями.
  11. Сложение и вычитание смешанных чисел.
  12. Сокращение дробей.

Ответ


Вернуться к содержанию учебника