Номер 1125 - ГДЗ Математика 6 класс. Мерзляк, Полонский. Учебник. Страница 237

Вернуться к содержанию учебника

Страница 237

1122 1123 1124 1125 1126 1127 1128

Вопрос

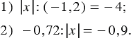
Решите уравнение:

Подсказка

Вспомните:

  1. Как решать уравнения.
  2. Рациональные числа.
  3. Умножение и деление рациональных чисел.
  4. Модуль числа.
  5. Десятичная запись дробных чисел
  6. Умножение десятичных дробей.
  7. Деление десятичных дробей.

Ответ


Вернуться к содержанию учебника