Номер 1130 - ГДЗ Математика 6 класс. Мерзляк, Полонский. Учебник. Страница 238

Вернуться к содержанию учебника

Страница 238

1127 1128 1129 1130 1131 1132 1133

Вопрос

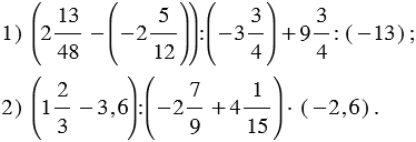
Найдите значение выражения:

Подсказка

Ответ


Вернуться к содержанию учебника