Номер 1150 - ГДЗ Математика 6 класс. Мерзляк, Полонский. Учебник. Страница 242

Вернуться к содержанию учебника

Страница 242

1147 1148 1149 1150 1151 1152 1153

Вопрос

Решите уравнение:

1) 0,4( 3) 1,6 = 5(0,1 0,5);

2) 1,5(2 5) + 2 = 5(0,5 1,5) 10;

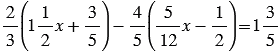
3) .

Подсказка

Ответ


Вернуться к содержанию учебника