Номер 226 - ГДЗ Алгебра 7 класс. Мерзляк, Полонский. Учебник. Страница 48

Вернуться к содержанию учебника

Страница 48

223 224 225 226 227 228 229

Вопрос

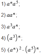
Представьте в виде степени выражение:

где - натуральное число.

Подсказка

Вспомните:

  1. Что называют степенью числа с натуральным показателем.
  2. Как умножить степени с одинаковыми основаниями, как возвести степень в степень.
  3. Подобные слагаемые.

Ответ


Вернуться к содержанию учебника