Для любого числа и любых натуральных чисел и справедливо равенство: . |
Тождество
выражает основное свойство степени.
Основное свойство степени распространяется и на произведение трех и более степеней:
.
Из основного свойства степеней получаем правило умножения степеней:
| при умножении степеней с одинаковыми основаниями основание оставляют прежним, а показатели степеней складывают. |
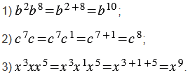
Примеры:

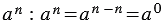
Для любого числа и любых натуральных чисел и , таких, что , справедливо равенство: . |
Правило деления степеней:
| при делении степеней с одинаковыми основаниями основание оставляют прежним, а из показателя степени делимого вычитают показатель степени делителя. |
Примеры:

Если правило деления применить к частному
(т.е. когда
), то получится
.
Степень с нулевым показателем не была определена, но при всяком
и любом натуральном
справедливо равенство:
.
Получается, можно считать, что при
, справедливо равенство:
.
Степень числа , не равного нулю, с нулевым показателем равна единице. |
Примеры:

Для любого числа и любых натуральных чисел и справедливо равенство: . |
Правило возведения степени в степень:
| при возведении степени в степень показатели перемножают, а основание оставляют прежним. |
Пример:
.
|
Для любых чисел |
Аналогичное свойство справедливо и для произведения трех и более множителей:
.
Правило возведения произведения в степень:
| при возведении произведения в степень каждый множитель возводят в эту степень и полученные результаты перемножают. |
Пример:
.
Линейное уравнение с одной переменной
Решение задач с помощью уравнений
Тождественно равные выражения. Тождества
Степень с натуральным показателем
Сложение и вычитание многочленов
Умножение одночлена на многочлен
Умножение многочлена на многочлен
Разложение многочленов на множители
Формулы сокращенного умножения
Квадратные корни. Дейстительные числа
Системы линейных уравнений с двумя переменными
Элементы математической логики
7 класс
Номер 242, Мерзляк, Полонский, Якир, Учебник
Номер 440, Мерзляк, Полонский, Якир, Учебник
Номер 444, Мерзляк, Полонский, Якир, Учебник
Номер 470, Мерзляк, Полонский, Якир, Учебник
Номер 657, Мерзляк, Полонский, Якир, Учебник
Номер 708, Мерзляк, Полонский, Якир, Учебник
Номер 1003, Мерзляк, Полонский, Якир, Учебник
Номер 1199, Мерзляк, Полонский, Якир, Учебник
Упражнение 701, Макарычев, Миндюк, Нешков, Суворова, Учебник
Упражнение 1012, Макарычев, Миндюк, Нешков, Суворова, Учебник
8 класс
Номер 37, Мерзляк, Полонский, Якир, Учебник
Номер 117, Мерзляк, Полонский, Якир, Учебник
Номер 218, Мерзляк, Полонский, Якир, Учебник
Номер 506, Мерзляк, Полонский, Якир, Учебник
Номер 513, Мерзляк, Полонский, Якир, Учебник
Номер 551, Мерзляк, Полонский, Якир, Учебник
Номер 845, Мерзляк, Полонский, Якир, Учебник
Упражнение 92, Макарычев, Миндюк, Нешков, Суворова, Учебник
Упражнение 243, Макарычев, Миндюк, Нешков, Суворова, Учебник
Упражнение 420, Макарычев, Миндюк, Нешков, Суворова, Учебник
9 класс
Упражнение 244, Макарычев, Миндюк, Нешков, Суворова, Учебник
Упражнение 315, Макарычев, Миндюк, Нешков, Суворова, Учебник
Упражнение 370, Макарычев, Миндюк, Нешков, Суворова, Учебник
Упражнение 428, Макарычев, Миндюк, Нешков, Суворова, Учебник
Упражнение 509, Макарычев, Миндюк, Нешков, Суворова, Учебник
Упражнение 671, Макарычев, Миндюк, Нешков, Суворова, Учебник
Упражнение 709, Макарычев, Миндюк, Нешков, Суворова, Учебник
Упражнение 718, Макарычев, Миндюк, Нешков, Суворова, Учебник
Упражнение 171, Макарычев, Миндюк, Нешков, Суворова, Учебник
Упражнение 815, Макарычев, Миндюк, Нешков, Суворова, Учебник