| Чтобы найти сумму многочленов, нужно взять эти многочлены в скобки и поставить между ними знак "плюс". Затем нужно раскрыть скобки и привести подобные слагаемые. |
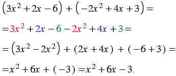
Пример: Найдем сумму многочленов
.
Решение:

Многочлен
является суммой многочленов
.
| Чтобы найти разность многочленов, нужно взять эти многочлены в скобки и поставить между ними знак "минус". Затем нужно раскрыть скобки и привести подобные слагаемые. |
Пример: Найдем разность многочленов
.

Многочлен
является разностью многочленов
.
Вывод: при сложении и вычитании многочленов всегда получается многочлен.
Запись
является обозначением двузначного числа, содержащего
десятков и
единиц, то есть
. Аналогично запись
является обозначением трехзначного числа, содержащего
сотен,
десятков и
единиц, то есть
.
Линейное уравнение с одной переменной
Решение задач с помощью уравнений
Тождественно равные выражения. Тождества
Степень с натуральным показателем
Свойства степени с натуральным показателем
Умножение одночлена на многочлен
Умножение многочлена на многочлен
Разложение многочленов на множители
Формулы сокращенного умножения
Квадратные корни. Дейстительные числа
Системы линейных уравнений с двумя переменными
Элементы математической логики
7 класс
Номер 310, Мерзляк, Полонский, Якир, Учебник
Номер 323, Мерзляк, Полонский, Якир, Учебник
Номер 345, Мерзляк, Полонский, Якир, Учебник
Упражнение 608, Макарычев, Миндюк, Нешков, Суворова, Учебник
Упражнение 615, Макарычев, Миндюк, Нешков, Суворова, Учебник
Упражнение 794, Макарычев, Миндюк, Нешков, Суворова, Учебник
Упражнение 831, Макарычев, Миндюк, Нешков, Суворова, Учебник
Упражнение 938, Макарычев, Миндюк, Нешков, Суворова, Учебник
Упражнение 939, Макарычев, Миндюк, Нешков, Суворова, Учебник
Упражнение 1202, Макарычев, Миндюк, Нешков, Суворова, Учебник
8 класс
Номер 204, Мерзляк, Полонский, Якир, Учебник
Упражнение 56, Макарычев, Миндюк, Нешков, Суворова, Учебник
Упражнение 57, Макарычев, Миндюк, Нешков, Суворова, Учебник
Упражнение 59, Макарычев, Миндюк, Нешков, Суворова, Учебник
Упражнение 61, Макарычев, Миндюк, Нешков, Суворова, Учебник
Упражнение 62, Макарычев, Миндюк, Нешков, Суворова, Учебник
Упражнение 224, Макарычев, Миндюк, Нешков, Суворова, Учебник
Упражнение 727, Макарычев, Миндюк, Нешков, Суворова, Учебник
Упражнение 1279, Макарычев, Миндюк, Нешков, Суворова, Учебник
Упражнение 1305, Макарычев, Миндюк, Нешков, Суворова, Учебник
9 класс
Упражнение 735, Макарычев, Миндюк, Нешков, Суворова, Учебник
Упражнение 864, Макарычев, Миндюк, Нешков, Суворова, Учебник
Упражнение 888, Макарычев, Миндюк, Нешков, Суворова, Учебник