Вернуться к содержанию учебника
Выберите год учебника
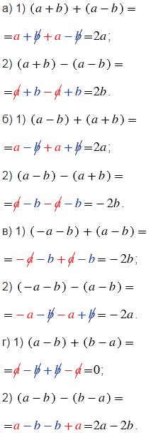
№606 учебника 2023-2026 (стр. 133):
Найдите сумму и разность многочленов:

№606 учебника 2013-2022 (стр. 133):
Решите уравнение:

№606 учебника 2023-2026 (стр. 133):
Вспомните:
№606 учебника 2013-2022 (стр. 133):
Вспомните:
№606 учебника 2023-2026 (стр. 133):

Пояснения:
Чтобы найти сумму многочленов, нужно взять эти многочлены в скобки и поставить между ними знак "плюс". Затем нужно раскрыть скобки и привести подобные слагаемые (в решении выделены одинаковым цветом).
Чтобы найти разность многочленов, нужно взять эти многочлены в скобки и поставить между ними знак "минус". Затем нужно раскрыть скобки и привести подобные слагаемые (в решении выделены одинаковым цветом).
При раскрытии скобок помним:
1) если перед скобками стоит знак "+", то можно опустить скобки и этот знак "+", сохранив знаки слагаемых, стоящих в скобках. Если первое слагаемое в скобках записано без знака, то его надо записать со знаком "+";
2) Если перед скобками стоит знак " - ", то можно опустить скобки и этот знак "-", изменив знаки слагаемых, стоящих в скобках на противоположные. Если первое слагаемое в скобках записано без знака, то его надо записать со знаком " - ".
Противоположные слагаемые после раскрытия скобок вычеркиваем, так как их сумма равна нулю.
№606 учебника 2013-2022 (стр. 133):



Вернуться к содержанию учебника