Вернуться к содержанию учебника
Выберите год учебника
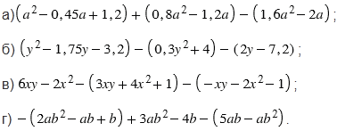
№611 учебника 2023-2026 (стр. 134):
Упростите выражение:

№611 учебника 2013-2022 (стр. 134):
(Задача исследование.) В "Арифметике" Магницкого,написанной в начале XVIII в., предлагается такой способ угадывания задуманного двузначного числа:
"Если кто задумал двузначное число, то скажи ему, чтобы он увеличил число десятков в 2 раза и к произведению прибавил 5 единиц; затем полученную сумму увеличил в 5 раз и к новому произведению прибавил 10 единиц и число единиц задуманного числа, а результат произведенных действий сообщил бы тебе. Если ты из указанного результата вычтешь 35, то узнаешь задуманное число".
1) Выберите двузначное число и проверьте предложенный способ угадывания задуманного числа.
2) Предложите соседу по парте задумать двузначное число, выполнить указанные в условии задачи действия и сообщить результат.
3) Найдите число, задуманное соседом.
4) Докажите справедливость способа отгадывания задуманного двузначного числа, предложенного в учебнике Магницкого.
№611 учебника 2023-2026 (стр. 134):
Вспомните:
№611 учебника 2013-2022 (стр. 134):
Вспомните:
№611 учебника 2023-2026 (стр. 134):

Пояснения:
Чтобы упростить выражения, нужно раскрыть скобки и привести подобные слагаемые (в решении выделены одинаковым цветом). Подобные слагаемые, которые в сумме дают ноль, вычеркнуты.
При раскрытии скобок помним:
1) если перед скобками стоит знак "+", то можно опустить скобки и этот знак "+", сохранив знаки слагаемых, стоящих в скобках. Если первое слагаемое в скобках записано без знака, то его надо записать со знаком "+";
2) Если перед скобками стоит знак " - ", то можно опустить скобки и этот знак "-", изменив знаки слагаемых, стоящих в скобках на противоположные. Если первое слагаемое в скобках записано без знака, то его надо записать со знаком " - ".
№611 учебника 2013-2022 (стр. 134):



Вернуться к содержанию учебника