Вернуться к содержанию учебника
Выберите год учебника
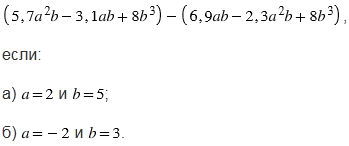
№613 учебника 2023-2026 (стр. 134):
Найдите значение выражения:

№613 учебника 2013-2022 (стр. 134):
С помощью калькулятора найдите значение выражения
2 -
, если
= 1,4,
= 0,157.
№613 учебника 2023-2026 (стр. 134):
Вспомните:
№613 учебника 2013-2022 (стр. 134):
Вспомните:
№613 учебника 2023-2026 (стр. 134):

Пояснения:
Сначала нужно упростить выражение. Чтобы упростить выражение, нужно раскрыть скобки и привести подобные слагаемые (в решении выделены одинаковым цветом). Подобные слагаемые, которые в сумме дают ноль, вычеркнуты.
При раскрытии скобок помним:
1) если перед скобками стоит знак "+", то можно опустить скобки и этот знак "+", сохранив знаки слагаемых, стоящих в скобках. Если первое слагаемое в скобках записано без знака, то его надо записать со знаком "+";
2) Если перед скобками стоит знак " - ", то можно опустить скобки и этот знак "-", изменив знаки слагаемых, стоящих в скобках на противоположные. Если первое слагаемое в скобках записано без знака, то его надо записать со знаком " - ".
Затем в полученное упрощенное выражение вместо переменных нужно подставить числа и выполнить вычисления.
№613 учебника 2013-2022 (стр. 134):

Вернуться к содержанию учебника