Вернуться к содержанию учебника
Выберите год учебника
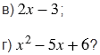
№610 учебника 2023-2026 (стр. 134):
Какой многочлен в сумме с многочленом
тождественно равен:
а) 0;
б) 18;

№610 учебника 2013-2022 (стр. 133):
(Для работы в парах.) Докажите, что сумма:
а) трех последовательных натуральных чисел кратна 3;
б) четырех последовательных натуральных чисел не кратна 4.
1) Распределите, кто выполняет задание а), а кто - задание б), и выполните их.
2) Проверьте друг у друга правильность выполнения преобразований.
3) Выскажите аналогичное предположение о сумме пяти последовательных натуральных чисел и проверьте, верно ли оно.
№610 учебника 2023-2026 (стр. 134):
Вспомните:
№610 учебника 2013-2022 (стр. 133):
Вспомните:
Вернуться к содержанию учебника