Нам известно, что решить уравнение - значит найти все его корни или показать, что их нет вообще. Также нам известно, что при решении уравнений используют следующие свойства:
|
Уравнение вида |
Примеры линейных уравнений с одной переменной:

Выясним, сколько корней может иметь линейное уравнение
.
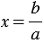
1) Если в линейном уравнении
коэффициент
, то разделив обе части этого уравнения на
, получим
. Значит, линейное уравнение
, в котором
, имеет единственный корень, равный
.
2) Если в линейном уравнении
коэффициент
и
, то получим уравнение
. Значит, линейное уравнение
, в котором
и
, имеет бесконечного много корней, т.е. его корнем является любое число (т.к. при умножении любого числа на ноль всегда получится ноль).
3) Если в линейном уравнении
коэффициент
и
, то при любом значении
получим неверное равенство
. Значит, линейное уравнение
, в котором
и
, не имеет корней.
Вывод:
Значения и ![]() |
Корни уравнения ![]() |
![]() |
![]() |
и ![]() |
- любое число |
и ![]() |
корней нет |
Решение многих уравнений сводится к решению линейных уравнений.
Пример:
.
.
Перенесем слагаемое
в левую часть уравнения, а слагаемое
28 в правую часть, изменив при этом их знаки:
.
Приведем подобные слагаемые:
.
Разделим обе части уравнения на 3:
.
При решении исходного уравнения мы применяли свойства уравнений и выполняли тождественные преобразования, последовательно заменяя одно уравнение другим, равносильным ему. Значит, корнем уравнения
является число 11.
В рассматриваемом примере исходное уравнение
свелось к равносильному линейному уравнению
, в котором коэффициент при переменной отличен от нуля (
= 3).
Если при решении уравнения равносильное ему линейное уравнение получится вида
, то исходное уравнение имеет бесконечно много корней.
Если при решении уравнения равносильное ему линейное уравнение получится вида
, то исходное уравнение не имеет корней.
Решение задач с помощью уравнений
Тождественно равные выражения. Тождества
Степень с натуральным показателем
Свойства степени с натуральным показателем
Сложение и вычитание многочленов
Умножение одночлена на многочлен
Умножение многочлена на многочлен
Разложение многочленов на множители
Формулы сокращенного умножения
Квадратные корни. Дейстительные числа
Системы линейных уравнений с двумя переменными
Элементы математической логики
7 класс
Номер 1091, Мерзляк, Полонский, Якир, Учебник
Упражнение 246, Макарычев, Миндюк, Нешков, Суворова, Учебник
Упражнение 341, Макарычев, Миндюк, Нешков, Суворова, Учебник
Упражнение 368, Макарычев, Миндюк, Нешков, Суворова, Учебник
Упражнение 678, Макарычев, Миндюк, Нешков, Суворова, Учебник
Упражнение 761, Макарычев, Миндюк, Нешков, Суворова, Учебник
Упражнение 803, Макарычев, Миндюк, Нешков, Суворова, Учебник
Упражнение 969, Макарычев, Миндюк, Нешков, Суворова, Учебник
Упражнение 1119, Макарычев, Миндюк, Нешков, Суворова, Учебник
Упражнение 1123, Макарычев, Миндюк, Нешков, Суворова, Учебник
8 класс
Номер 173, Мерзляк, Полонский, Якир, Учебник
Упражнение 11, Макарычев, Миндюк, Нешков, Суворова, Учебник
Упражнение 109, Макарычев, Миндюк, Нешков, Суворова, Учебник
Упражнение 576, Макарычев, Миндюк, Нешков, Суворова, Учебник
Упражнение 588, Макарычев, Миндюк, Нешков, Суворова, Учебник
Упражнение 634, Макарычев, Миндюк, Нешков, Суворова, Учебник
Упражнение 659, Макарычев, Миндюк, Нешков, Суворова, Учебник
Упражнение 722, Макарычев, Миндюк, Нешков, Суворова, Учебник
Упражнение 742, Макарычев, Миндюк, Нешков, Суворова, Учебник
Упражнение 804, Макарычев, Миндюк, Нешков, Суворова, Учебник
9 класс
Упражнение 212, Макарычев, Миндюк, Нешков, Суворова, Учебник
Упражнение 234, Макарычев, Миндюк, Нешков, Суворова, Учебник
Упражнение 292, Макарычев, Миндюк, Нешков, Суворова, Учебник
Упражнение 295, Макарычев, Миндюк, Нешков, Суворова, Учебник
Упражнение 327, Макарычев, Миндюк, Нешков, Суворова, Учебник
Упражнение 334, Макарычев, Миндюк, Нешков, Суворова, Учебник
Упражнение 394, Макарычев, Миндюк, Нешков, Суворова, Учебник
Упражнение 557, Макарычев, Миндюк, Нешков, Суворова, Учебник
Упражнение 836, Макарычев, Миндюк, Нешков, Суворова, Учебник
Упражнение 216, Макарычев, Миндюк, Нешков, Суворова, Учебник