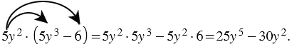
Умножим одночлен
на многочлен
.
Для этого составим их произведение и, используя распределительное свойство умножения, преобразуем его. Для этого умножим одночлен на каждый член многочлена и сложим результаты:

То есть произведение одночлена
и многочлена
мы представили в виде многочлена
.
Вообще, произведение одночлена и многочлена всегда можно представить в виде многочлена. При умножении одночлена на многочлен пользуются правилом:
| Чтобы умножить одночлен на многочлен, нужно умножить этот одночлен на каждый член многочлена и полученные произведения сложить. |
Приведённое правило позволяет умножать многочлен на одночлен, так как для произведения одночлена и многочлена справедливо переместительное свойство умножения относительно сложения и вычитания.
Линейное уравнение с одной переменной
Решение задач с помощью уравнений
Тождественно равные выражения. Тождества
Степень с натуральным показателем
Свойства степени с натуральным показателем
Сложение и вычитание многочленов
Умножение многочлена на многочлен
Разложение многочленов на множители
Формулы сокращенного умножения
Квадратные корни. Дейстительные числа
Системы линейных уравнений с двумя переменными
Элементы математической логики
7 класс
Номер 338, Мерзляк, Полонский, Якир, Учебник
Номер 613, Мерзляк, Полонский, Якир, Учебник
Номер 724, Мерзляк, Полонский, Якир, Учебник
Номер 743, Мерзляк, Полонский, Якир, Учебник
Номер 1192, Мерзляк, Полонский, Якир, Учебник
Номер 1203, Мерзляк, Полонский, Якир, Учебник
Номер 1214, Мерзляк, Полонский, Якир, Учебник
Упражнение 970, Макарычев, Миндюк, Нешков, Суворова, Учебник
Упражнение 1059, Макарычев, Миндюк, Нешков, Суворова, Учебник
Упражнение 626, Макарычев, Миндюк, Нешков, Суворова, Учебник
8 класс
Номер 104, Мерзляк, Полонский, Якир, Учебник
Номер 114, Мерзляк, Полонский, Якир, Учебник
Номер 217, Мерзляк, Полонский, Якир, Учебник
Номер 487, Мерзляк, Полонский, Якир, Учебник
Упражнение 558, Макарычев, Миндюк, Нешков, Суворова, Учебник
Упражнение 566, Макарычев, Миндюк, Нешков, Суворова, Учебник
Упражнение 633, Макарычев, Миндюк, Нешков, Суворова, Учебник
Упражнение 654, Макарычев, Миндюк, Нешков, Суворова, Учебник
Упражнение 685, Макарычев, Миндюк, Нешков, Суворова, Учебник
Упражнение 1324, Макарычев, Миндюк, Нешков, Суворова, Учебник
9 класс
Упражнение 52, Макарычев, Миндюк, Нешков, Суворова, Учебник
Упражнение 156, Макарычев, Миндюк, Нешков, Суворова, Учебник
Упражнение 210, Макарычев, Миндюк, Нешков, Суворова, Учебник
Упражнение 212, Макарычев, Миндюк, Нешков, Суворова, Учебник
Упражнение 700, Макарычев, Миндюк, Нешков, Суворова, Учебник
Упражнение 711, Макарычев, Миндюк, Нешков, Суворова, Учебник
Упражнение 156, Макарычев, Миндюк, Нешков, Суворова, Учебник
Упражнение 228, Макарычев, Миндюк, Нешков, Суворова, Учебник
Упражнение 397, Макарычев, Миндюк, Нешков, Суворова, Учебник
Упражнение 432, Макарычев, Миндюк, Нешков, Суворова, Учебник