Номер 179 - ГДЗ Алгебра 8 класс. Мерзляк, Полонский. Учебник. Страница 44

Вернуться к содержанию учебника

Упражнения § 6. Страница 44

176 177 178 179 180 181 182

Вопрос

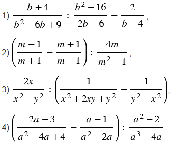
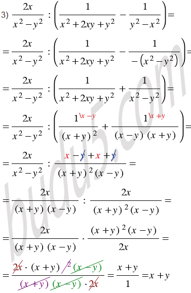
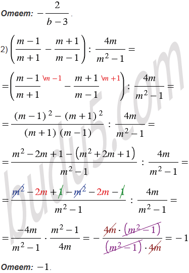
Выполните действия:

Подсказка

Ответ


Вернуться к содержанию учебника