Мы знаем правила умножения и деления обыкновенных дробей, рациональные дроби умножаются и делятся аналогично.
| Произведением двух рациональных дробей является рациональная дробь, числитель которой равен произведению числителей данных дробей, а знаменатель - произведению их знаменателей. |
Чтобы умножить одну рациональную дробь на другую, надо числитель первой дроби умножить на числитель второй дроби, а знаменатель первой - на знаменатель второй, первое произведение записать в числитель, а второе - в знаменатель.
, где
,
,
и
- многочлены, причём многочлены
и
- ненулевые.
Пример 1: Найдите произведение дробей
и 

Так как числитель первого множителя равен
, а числитель второй - 3, то числитель произведения будет равен
. Знаменателем первого множителя является одночлен
, а второго - многочлен
, поэтому знаменатель произведения будет равен
, то есть получаем:

Очевидно, что нашу дробь мы можем сократить на 3 и на многочлен
, получаем, что:

Две рациональные дроби, произведение которых равно 1, называют взаимно обратными.
То есть рациональные дроби
и
, где
,
- ненулевые многочлены, являются взаимно обратными, так как 
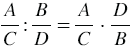
| Частным двух рациональных дробей является рациональная дробь, числитель которой равен произведению числителя делимого и знаменателя делителя, а знаменатель - произведению знаменателя делимого и числителя делителя. |
То есть, чтобы разделить одну рациональную дробь на другую, нужно делимое умножить на дробь, обратную делителю.
, где
,
,
и
- многочлены, причём многочлены
,
и
- ненулевые.
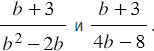
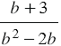
Пример 2: Найдем частное дробей 

Сведем деление к умножению. Обратной дробью делителю будет дробь
Значит, мы должны дробь
умножить на дробь
получаем произведение:

Далее в числитель произведения записываем произведение числителей данных дробей, а в знаменатель - произведение знаменателей, то есть:

Мы видим, что числитель и знаменатель дроби содержат множитель
, поэтому мы можем сократить данную дробь на него. Также мы можем в числителе дроби вынести за скобку общий множитель 4, а в знаменателе множитель -
, получим:

Мы получили, что числитель и знаменатель дроби содержат множитель
, поэтому мы можем сократить данную дробь на него, в итоге имеем, что:

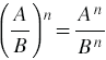
| Чтобы возвести рациональную дробь в степень, нужно возвести в эту степень числитель и знаменатель. Первый результат записать как числитель, а второй - как знаменатель дроби. |
, где
,
- многочлены, причём многочлены
- ненулевой.
Заметим, что прежде, чем выполнять умножение и деление рациональных дробей, полезно их числители и знаменатели разложить на множители.
Основное свойство рациональной дроби
Сложение и вычитание рациональных дробей с одинаковыми знаменателями
Сложение и вычитание рациональных дробей с разными знаменателями
Равносильные уравнения. Рациональные уравнения
Степень с целым отрицательным показателем
Свойства степени с целым показателем
Функция \(y=\frac{k}{x}\) и её график.
Линейное уравнение с одной переменной
Решение задач с помощью уравнений
Тождественно равные выражения. Тождества
Степень с натуральным показателем
Свойства степени с натуральным показателем
Сложение и вычитание многочленов
Умножение одночлена на многочлен
Умножение многочлена на многочлен
Разложение многочленов на множители
Формулы сокращенного умножения
Квадратные корни. Дейстительные числа
Системы линейных уравнений с двумя переменными
Элементы математической логики
8 класс
Номер 250, Мерзляк, Полонский, Якир, Учебник
Номер 419, Мерзляк, Полонский, Якир, Учебник
Номер 880, Мерзляк, Полонский, Якир, Учебник
Упражнение 125, Макарычев, Миндюк, Нешков, Суворова, Учебник
Упражнение 136, Макарычев, Миндюк, Нешков, Суворова, Учебник
Упражнение 137, Макарычев, Миндюк, Нешков, Суворова, Учебник
Упражнение 169, Макарычев, Миндюк, Нешков, Суворова, Учебник
Упражнение 243, Макарычев, Миндюк, Нешков, Суворова, Учебник
Упражнение 247, Макарычев, Миндюк, Нешков, Суворова, Учебник
Упражнение 666, Макарычев, Миндюк, Нешков, Суворова, Учебник
9 класс
Упражнение 59, Макарычев, Миндюк, Нешков, Суворова, Учебник
Упражнение 235, Макарычев, Миндюк, Нешков, Суворова, Учебник
Упражнение 241, Макарычев, Миндюк, Нешков, Суворова, Учебник
Упражнение 258, Макарычев, Миндюк, Нешков, Суворова, Учебник
Упражнение 331, Макарычев, Миндюк, Нешков, Суворова, Учебник
Упражнение 335, Макарычев, Миндюк, Нешков, Суворова, Учебник
Упражнение 436, Макарычев, Миндюк, Нешков, Суворова, Учебник
Упражнение 438, Макарычев, Миндюк, Нешков, Суворова, Учебник
Упражнение 441, Макарычев, Миндюк, Нешков, Суворова, Учебник
Упражнение 200, Макарычев, Миндюк, Нешков, Суворова, Учебник