Мы знаем, что обратная пропорциональность - это зависимость, которая характеризуется тем, что с увеличением (уменьшением) одной величины в несколько раз другая величина уменьшается (увеличивается) во столько же раз.
Рассмотрим задачи:
1. Пешеход движется из пункта А в пункт В, расстояние между которыми рано 15 км. Пусть его скорость равна
км/ч, а время движения -
ч.
Зависимость переменной
от переменной
является обратной пропорциональностью: увеличение скорости
в несколько раз приводит к уменьшению времени движения во столько же раз, и наоборот, уменьшение скорости движения приводит к увеличению времени движения во столько же раз. Этой функциональной зависимости соответствует функция, которая задана формулой 
2. Пусть нам дан прямоугольник длина которого равна
м, а ширина
м, Известно, что его площадь равна 4 м2.
Зависимость переменной
от переменной
является обратной пропорциональностью: увеличение длины
в несколько раз приводит к уменьшению ширины прямоугольника во столько же раз, и наоборот, уменьшение длины приводит к увеличению ширины во столько же раз. Этой функциональной зависимости соответствует функция, которая задана формулой 
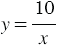
Общей математической моделью этих и многих других реальных процессов является функция, которая задается формулой
.
Функцию, которую можно задать формулой вида , где , называют обратной пропорциональностью. |
Областью определения функции
являются все числа, кроме 0, так как в выражении
допустимыми значениями переменной
являются все числа кроме 0.
Рассмотрим функцию
Приведем некоторые значения аргумента и соответствующие им значения функции. Сначала возьмем несколько положительных значений аргумента, а затем несколько противоположных им отрицательных значений.

Далее на координатной плоскости отметим точки, координаты (
;
) которых приведены в таблице (рис. 1).

Отмечая больше точек, координаты которых удовлетворяют уравнению
, будем получать фигуру (рис. 2), которая будет все меньше отличаться от графика функции 

При этом, сколько бы мы точек не отметили ни одна из них не будет иметь абсциссу равную нулю, так как 0 не принадлежит области определения данной функции, а значит, график функции
не будет иметь общих точек с осью ординат. А также график данной функции не будет иметь общих точек с осью абсцисс, то есть точек, у которых ординаты будут равны нулю, так как уравнение не имеет решений. Из чего делаем вывод, что число 0 не принадлежит области значений данной функции. Заметим, что областью значений данной функции являются все числа, кроме 0. Если
> 0, то
> 0; если
< 0, то
< 0. Следовательно, точки графика данной функции могут находиться только в I и III координатных четвертях.
Заметим, что если бы
<0, то если
> 0, то
< 0; если
< 0, то
> 0. Следовательно, точки графика функции должны находится только в II и IV координатных четвертях.
При этом если модуль абсциссы увеличивается, то расстояния от точек графика функции
до оси абсцисс уменьшаются и могут стать сколь угодно малыми, но никогда не станут равными нулю. Аналогично: с уменьшением модуля абсциссы расстояния от точек графика до оси ординат уменьшаются и могут стать сколь угодно малыми, но никогда не будут равны нулю.
Если мы отметим на координатной плоскости все точки, координаты которых удовлетворяют уравнению
, то мы получим фигуру, которая изображена на рисунке 3.

Данную фигуру называют гиперболой, она является графиком функции
, где
. Гипербола состоит из двух частей, которые называются ветвями гиперболы.
Противоположным значениям аргумента соответствуют противоположные значения функции. Действительно, в рассматриваемой функции
, а
, то есть
Или в общем виде
То есть если точка
, где
, принадлежит гиперболе
, то и точка
, которая симметрична точке
относительно начала координат, также принадлежит этой гиперболе. То есть гипербола
является симметричной фигурой с центром симметрии в точке О(0; 0). Функцию, которая обладает таким свойством, называют нечётной.
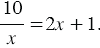
Пример: Решим уравнение 
Решим данное уравнение с помощью графического метода, для этого рассмотрим функции
и
. Построим графики данных функций на одной координатной плоскости (рис. 4).

Графики данных функций пересекаются в двух точках, абсциссы которых равны 2 и
2,5. В каждой из точек пересечения графиков функций значение функции
равно значению функции
. То есть, при найденных абсциссах значения выражений
и
равны, то есть числа 2 и
2,5 являются корнями уравнения 
Асимптота кривой - это прямая, к которой приближаются как угодно близко точки кривой по мере их удаления в бесконечность.
Выше мы рассмотрели свойства функции \(y=\frac{k}{x}\) при \(k>0.\) Рассмотрим еще одно. При неограниченном возрастании положительных значений аргумента значения функции, оставаясь положительными, убывают и стремятся к нулю, т.е. если \(x>0\) и \(x→+\infty\), то \(y→0.\) Аналогично, если \(x<0\) и \(x→-\infty\), то \(y→0.\) На графике это свойство проявляется в том, что точки графика по мере их удаления в бесконечность (т. е.\(x→-\infty\) или \(x→+\infty\) ) неограниченно приближаются к оси \(x.\) Говорят, что ось \(x\), т.е. прямая \(y=0,\) является асимптотой графика функции \(y=\frac{k}{x}\) при \(k>0.\)
Гипербола \(y=\frac{k}{x}\) при \(k>0\) имеет еще одну асимптоту - ось \(y,\) т.е. прямую \(x=0.\) Нетрудно понять, что гипербола \(y=\frac{k}{x}\) при \(k<0\) также имеет две асимптоты - ось \(x\) и ось \(y.\)
Основное свойство рациональной дроби
Сложение и вычитание рациональных дробей с одинаковыми знаменателями
Сложение и вычитание рациональных дробей с разными знаменателями
Умножение и деление рациональных дробей. Возведение рациональной дроби в степень
Равносильные уравнения. Рациональные уравнения
Степень с целым отрицательным показателем
Свойства степени с целым показателем
Линейное уравнение с одной переменной
Решение задач с помощью уравнений
Тождественно равные выражения. Тождества
Степень с натуральным показателем
Свойства степени с натуральным показателем
Сложение и вычитание многочленов
Умножение одночлена на многочлен
Умножение многочлена на многочлен
Разложение многочленов на множители
Формулы сокращенного умножения
Квадратные корни. Дейстительные числа
Системы линейных уравнений с двумя переменными
Элементы математической логики
8 класс
Номер 3, Мерзляк, Полонский, Якир, Учебник
Номер 313, Мерзляк, Полонский, Якир, Учебник
Номер 884, Мерзляк, Полонский, Якир, Учебник
Упражнение 185, Макарычев, Миндюк, Нешков, Суворова, Учебник
Упражнение 193, Макарычев, Миндюк, Нешков, Суворова, Учебник
Упражнение 328, Макарычев, Миндюк, Нешков, Суворова, Учебник
Упражнение 642, Макарычев, Миндюк, Нешков, Суворова, Учебник
Упражнение 1088, Макарычев, Миндюк, Нешков, Суворова, Учебник
Упражнение 1165, Макарычев, Миндюк, Нешков, Суворова, Учебник
Упражнение 1313, Макарычев, Миндюк, Нешков, Суворова, Учебник
9 класс
Упражнение 358, Макарычев, Миндюк, Нешков, Суворова, Учебник
Упражнение 365, Макарычев, Миндюк, Нешков, Суворова, Учебник
Упражнение 366, Макарычев, Миндюк, Нешков, Суворова, Учебник
Упражнение 752, Макарычев, Миндюк, Нешков, Суворова, Учебник
Упражнение 828, Макарычев, Миндюк, Нешков, Суворова, Учебник
Упражнение стр. 43, Макарычев, Миндюк, Нешков, Суворова, Учебник
Упражнение 23, Макарычев, Миндюк, Нешков, Суворова, Учебник
Упражнение 50, Макарычев, Миндюк, Нешков, Суворова, Учебник
Упражнение стр. 21, Макарычев, Миндюк, Нешков, Суворова, Учебник
Упражнение 796, Макарычев, Миндюк, Нешков, Суворова, Учебник