Номер 887 - ГДЗ Алгебра 8 класс. Мерзляк, Полонский. Учебник. Страница 222

Вернуться к содержанию учебника

Упражнения для повторения курса алгебры 8 класса. Страница 222

884 885 886 887 888 889 890

Вопрос

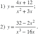
Постройте график функции:

Подсказка

Ответ


Вернуться к содержанию учебника