Номер 882 - ГДЗ Алгебра 8 класс. Мерзляк, Полонский. Учебник. Страница 221

Вернуться к содержанию учебника

Упражнения для повторения курса алгебры 8 класса. Страница 221

879 880 881 882 883 884 885

Вопрос

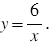
Постройте график функции Пользуясь графиком, найдите:

1) значение функции, если значение аргумента равно: 2; 1,5; 4;

2) значение аргумента, при котором значение функции равно: 2; 3; 4,5;

3) значения аргумента, при которых функция принимает отрицательные значения.

Подсказка

Ответ


Вернуться к содержанию учебника