Вернуться к содержанию учебника
Упражнения для повторения курса алгебры 8 класса. Страница 220
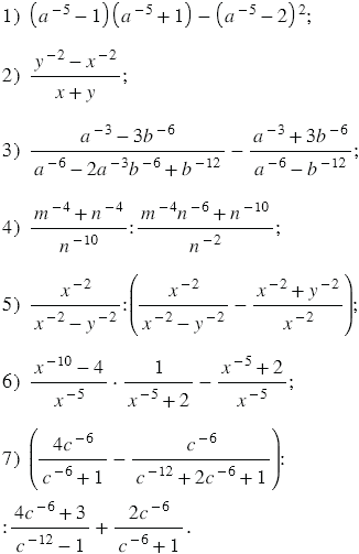
873 874 875 876 877 878 879 880 881 882 883
Упростите выражение:
Вспомните: