Номер 876 - ГДЗ Алгебра 8 класс. Мерзляк, Полонский. Учебник. Страница 220

Вернуться к содержанию учебника

Упражнения для повторения курса алгебры 8 класса. Страница 220

873 874 875 876 877 878 879

Вопрос

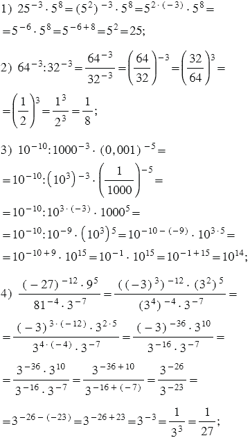
Найдите значение выражения:

Подсказка

Ответ


Вернуться к содержанию учебника