Номер 871 - ГДЗ Алгебра 8 класс. Мерзляк, Полонский. Учебник. Страница 219

Вернуться к содержанию учебника

Упражнения для повторения курса алгебры 8 класса. Страница 219

868 869 870 871 872 873 874

Вопрос

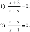
Для каждого значения решите уравнение:

Подсказка

Вспомните:

  1. Что значит решить уравнение.
  2. Какие уравнения называют рациональными.
  3. Какую дробь называют рациональной, допустимые значения переменной.

Ответ


Вернуться к содержанию учебника