Вернуться к содержанию учебника
Упражнения для повторения курса алгебры 8 класса. Страница 219
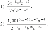
Преобразуйте выражение так, чтобы оно не содержало степеней с отрицательным показателями:

Вспомните:
для любого отличного от нуля числа и натурального числа
.Вернуться к содержанию учебника