Номер 874 - ГДЗ Алгебра 8 класс. Мерзляк, Полонский. Учебник. Страница 220

Вернуться к содержанию учебника

Упражнения для повторения курса алгебры 8 класса. Страница 220

871 872 873 874 875 876 877

Вопрос

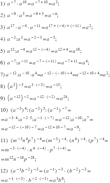
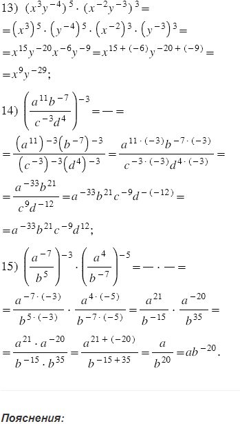
Представьте выражение в виде степени с основанием   или произведением степеней с разными основаниями:

Подсказка

Ответ


Вернуться к содержанию учебника