Номер 870 - ГДЗ Алгебра 8 класс. Мерзляк, Полонский. Учебник. Страница 219

Вернуться к содержанию учебника

Упражнения для повторения курса алгебры 8 класса. Страница 219

867 868 869 870 871 872 873

Вопрос

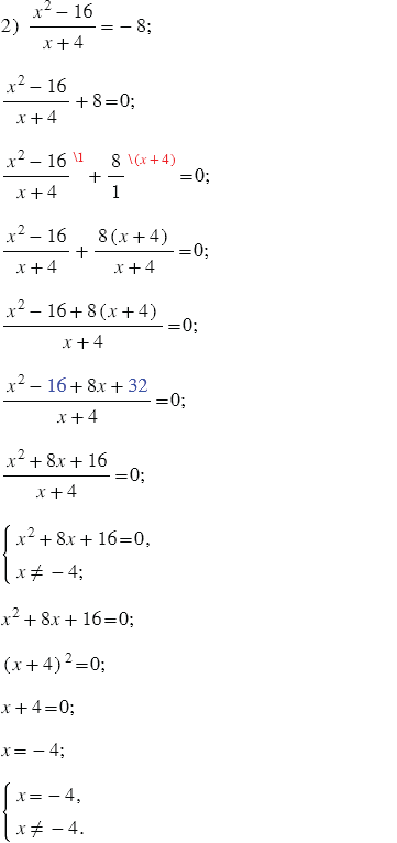
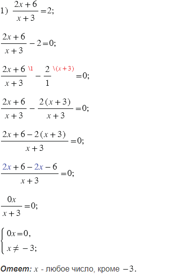
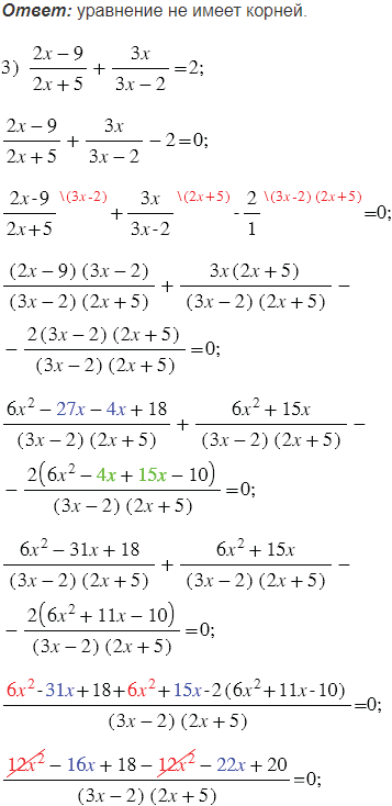
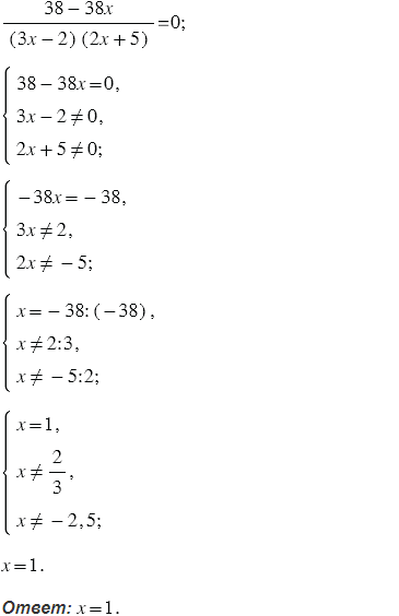
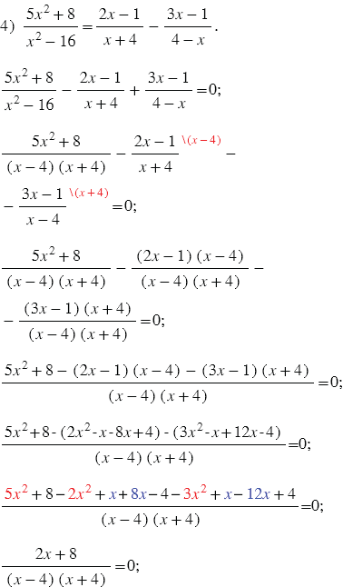
Решите уравнение:

Подсказка

Ответ


Вернуться к содержанию учебника