Номер 867 - ГДЗ Алгебра 8 класс. Мерзляк, Полонский. Учебник. Страница 218

Вернуться к содержанию учебника

Упражнения для повторения курса алгебры 8 класса. Страница 218

864 865 866 867 868 869 870

Вопрос

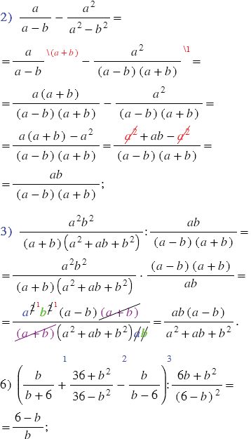
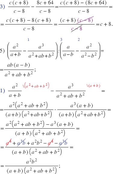
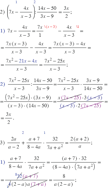
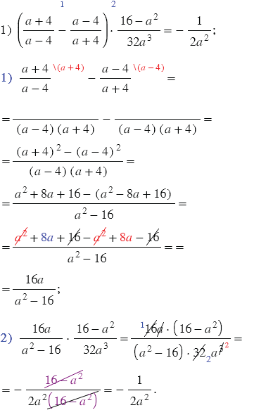
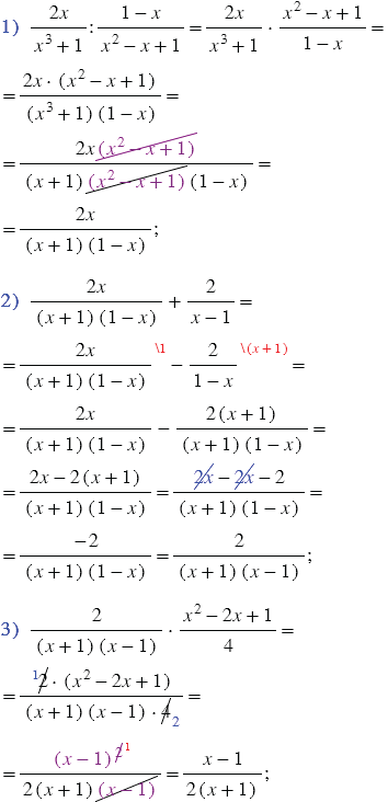
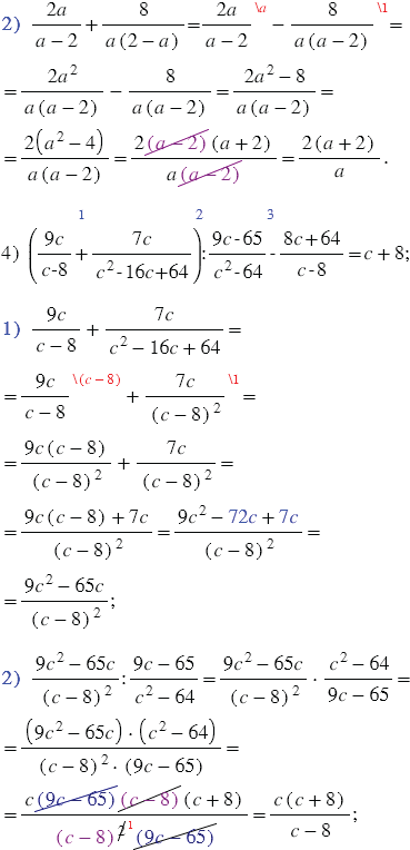
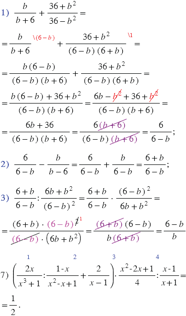
Упростите выражение:

Подсказка

Ответ


Вернуться к содержанию учебника