Номер 864 - ГДЗ Алгебра 8 класс. Мерзляк, Полонский. Учебник. Страница 218

Вернуться к содержанию учебника

Упражнения для повторения курса алгебры 8 класса. Страница 218

861 862 863 864 865 866 867

Вопрос

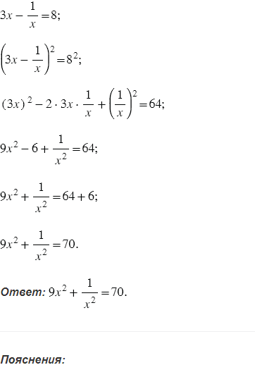
Дано: Найдите значение выражения

Подсказка

Ответ


Вернуться к содержанию учебника