Номер 861 - ГДЗ Алгебра 8 класс. Мерзляк, Полонский. Учебник. Страница 218

Вернуться к содержанию учебника

Упражнения для повторения курса алгебры 8 класса. Страница 218

858 859 860 861 862 863 864

Вопрос

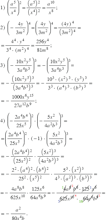
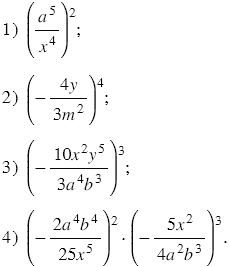
Представьте выражение в виде дроби:

Подсказка

Ответ


Вернуться к содержанию учебника