Номер 856 - ГДЗ Алгебра 8 класс. Мерзляк, Полонский. Учебник. Страница 217

Вернуться к содержанию учебника

Упражнения для повторения курса алгебры 8 класса. Страница 217

853 854 855 856 857 858 859

Вопрос

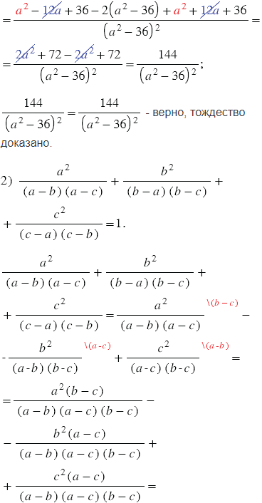
Докажите тождество:

Подсказка

Ответ


Вернуться к содержанию учебника