Номер 851 - ГДЗ Алгебра 8 класс. Мерзляк, Полонский. Учебник. Страница 217

Вернуться к содержанию учебника

Упражнения для повторения курса алгебры 8 класса. Страница 217

848 849 850 851 852 853 854

Вопрос

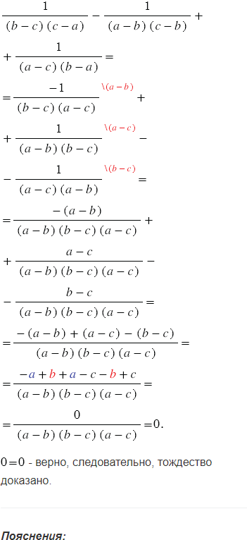
Докажите тождество:

Подсказка

Вспомните:

  1. Что называют тождеством.
  2. Какую дробь называют рациональной.
  3. Что называют одночленом.
  4. Что называют многочленом.
  5. Сложение и вычитание рациональных дробей с разными знаменателями.
  6. Сложение и вычитание рациональных дробей с одинаковыми знаменателями.
  7. Подобные слагаемые, правила раскрытия скобок.

Ответ


Вернуться к содержанию учебника