Номер 847 - ГДЗ Алгебра 8 класс. Мерзляк, Полонский. Учебник. Страница 216

Вернуться к содержанию учебника

Упражнения для повторения курса алгебры 8 класса. Страница 216

844 845 846 847 848 849 850

Вопрос

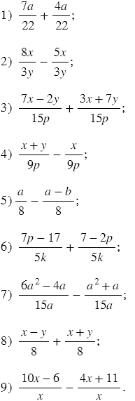
Представьте в виде дроби выражение:

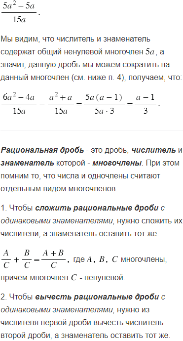
Подсказка

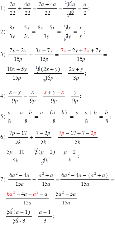
Ответ


Вернуться к содержанию учебника