Номер 844 - ГДЗ Алгебра 8 класс. Мерзляк, Полонский. Учебник. Страница 215

Вернуться к содержанию учебника

Упражнения для повторения курса алгебры 8 класса. Страница 215

841 842 843 844 845 846 847

Вопрос

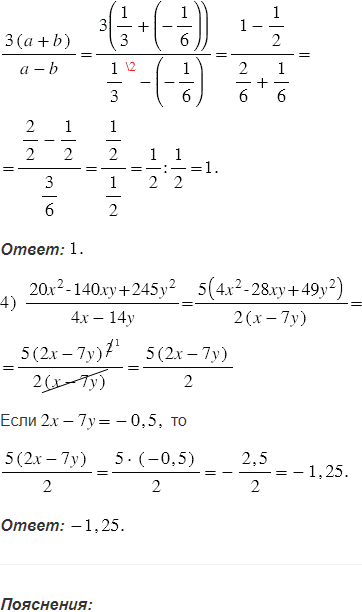
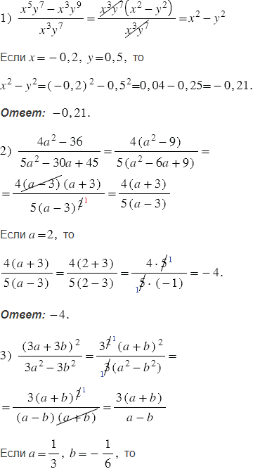
Найдите значение выражения:

Подсказка

Ответ


Вернуться к содержанию учебника