Номер 841 - ГДЗ Алгебра 8 класс. Мерзляк, Полонский. Учебник. Страница 215

Вернуться к содержанию учебника

Упражнения для повторения курса алгебры 8 класса. Страница 215

12 839 840 841 842 843 844

Вопрос

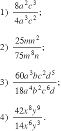
Сократите дробь:

Подсказка

Ответ


Вернуться к содержанию учебника