Вернуться к содержанию учебника
Упражнения для повторения курса алгебры 8 класса. Страница 215
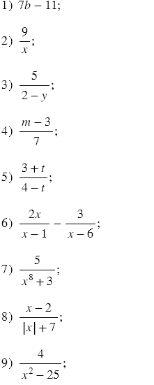
При каких значениях переменной имеет смысл выражение:


Вспомните:




Допустимыми значениями переменных, входящих в рациональное выражение, называют все значения переменных, при которых это выражение имеет смысл.
Рациональные выражения - это целые и дробные выражения.
Числовые выражения и выражения с переменными называют алгебраическими выражениями. Алгебраические выражения, которые не содержат деления на выражения с переменными, называют целыми выражениями. Допустимыми значениями переменных, входящих в целое выражение, являются все числа.
Дробные выражения - это алгебраические выражения, которые содержат деление на выражение с переменными. Отдельным видом рационального выражения является рациональная дробь. Это дробь, числитель и знаменатель которой - многочлены. Многочлен - это выражение, которое представляет собой сумму одночленов (числа и одночлены считают отдельными видами многочленов). Рациональная дробь может быть как целым выражением так и дробным. Знаменатель рациональной дроби не может быть нулевым многочленом, то есть многочленом, тождественно равным нулю. Допустимыми значениями переменных, входящих в рациональную дробь (дробное выражение), являются все те значения переменных, при которых значение знаменателя дроби не равно нулю.
Также помним, что четная степень любого числа и модуль любого числа являются неотрицательными числами.
Вернуться к содержанию учебника