Номер 845 - ГДЗ Алгебра 8 класс. Мерзляк, Полонский. Учебник. Страница 216

Вернуться к содержанию учебника

Упражнения для повторения курса алгебры 8 класса. Страница 216

842 843 844 845 846 847 848

Вопрос

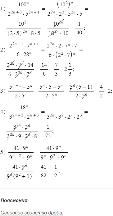
Сократите дробь ( - натуральное число):

Подсказка

Ответ


Вернуться к содержанию учебника