Номер 846 - ГДЗ Алгебра 8 класс. Мерзляк, Полонский. Учебник. Страница 216

Вернуться к содержанию учебника

Упражнения для повторения курса алгебры 8 класса. Страница 216

843 844 845 846 847 848 849

Вопрос

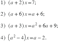
Для каждого значения решите уравнение:

Подсказка

Ответ


Вернуться к содержанию учебника