Номер 859 - ГДЗ Алгебра 8 класс. Мерзляк, Полонский. Учебник. Страница 217

Вернуться к содержанию учебника

Упражнения для повторения курса алгебры 8 класса. Страница 217

856 857 858 859 860 861 862

Вопрос

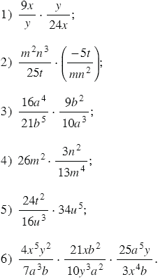
Выполните умножение:

Подсказка

Ответ


Вернуться к содержанию учебника